1932 数字技术投入节奏(2007-2024)
| 数据来源 | 本文的数据主要来源于国泰安数据库,包括全行业上市公司向社会披露的上市公司基本信息表,上市公司人员结构表,固定资产、累计折旧、减值准备表和无形资产表。 |
| 时间跨度 | 2007年-2024年 |
| 区域跨度 | 全行业上市公司 |
| 数据格式 | 数据格式为Excel形式 |
企业在推动绿色创新时仍面临创新成果质量较低、过度依赖传统技术等挑战,导致企业绿色创新动力不足 。 数字技术作为创新变革的关键动能,已然成为企业绿色创新、发展新质生产力的重要抓手。从研究价值看,在数字技术投入过程中,企业需要对特定时间段内技术人员投入节奏和数字资安排,否则,将影响企业知识供应的持续性 、沟通交流的连续性、吸收的高效性 、资源配置的有效性 、时间管理效率等,进而影响绿色创新绩效
,因此本数据参考孙忠娟 、李花倩 、 柳学信(2025)的做法,构建技术人员投入节奏和数字资产投入节奏指标。“节奏”是指在特定时间段内战略活动频率的变化或规则化程度 。数字技术投入作为企业的一项周期性战略行动,表现为不断投入资金以购买技术基础设施、开发软件等,以及不断引进技术人员以满足技术变化需求 。 对于这种不确定性强、成本高、周期长的战略活动,企业必须积极地进行时间管理,适时调整要素的投入节奏,否则,可能造成投入大量资金而不能取得预期成效的局面。 基于此,本数据提出“数字技术投入节奏”这一概念,即在特定时间段内企业数字技术投入的规则化程度,并依据已有研究对企业内部创新资源的分类 ,将其分为技术人员投入节奏和数字资产投入节奏。
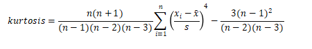
我们先利用企业技术人员与总员工数的比值衡量企业的技术人员投入强度。 具体而言,本数据根据公司人员结构表筛选出专业技术人员相关数据,在此基础上计算企业技术人员投入强度。 然后利用 IT投资与总资产的比值衡量公司的数字资产投入强度。 其中,IT投资包括 IT硬件投资和 IT软件投资。 本文从公司财务报表附注中先筛选合并公司报表和原值科目,再从固定资产和无形资产明细中筛选数字资产投资相关数据,IT硬件投资由固定资产明细中电子设备、电子计算机等项目的年末余额衡量,IT软件投资由无形资产明细中有关软件、系统、信息等项目的年末余额衡量.以技术人员投入强度和数字资 产投入强度的一阶导数的峰态衡量两者的节奏,即技术人员投入节奏和数字资产投入节奏。 峰态计算公式如下:

其中, 是峰度观测年数, 是在第 年中技术人员投入强度(或数字资产投入强度), 是年内技术人员投入强度(或数字资产投入强度)的均值, 是 年内技术人员投入强度(或数字资产投入强度)的标准差。该值越高,峰度越大,表明企业技术人员投入(或数字资产投入)存在较多的节奏变动,数字技术投入较不规则。
Stkcd | ShortName |
IndustryCode | IndustryName |
数字资产投入节奏 | 技术人员投入节奏 |
FullName |

[1]孙忠娟,李花倩,柳学信.数字技术投入节奏、内部协时与绿色创新绩效[J/OL].管理评论,1-14