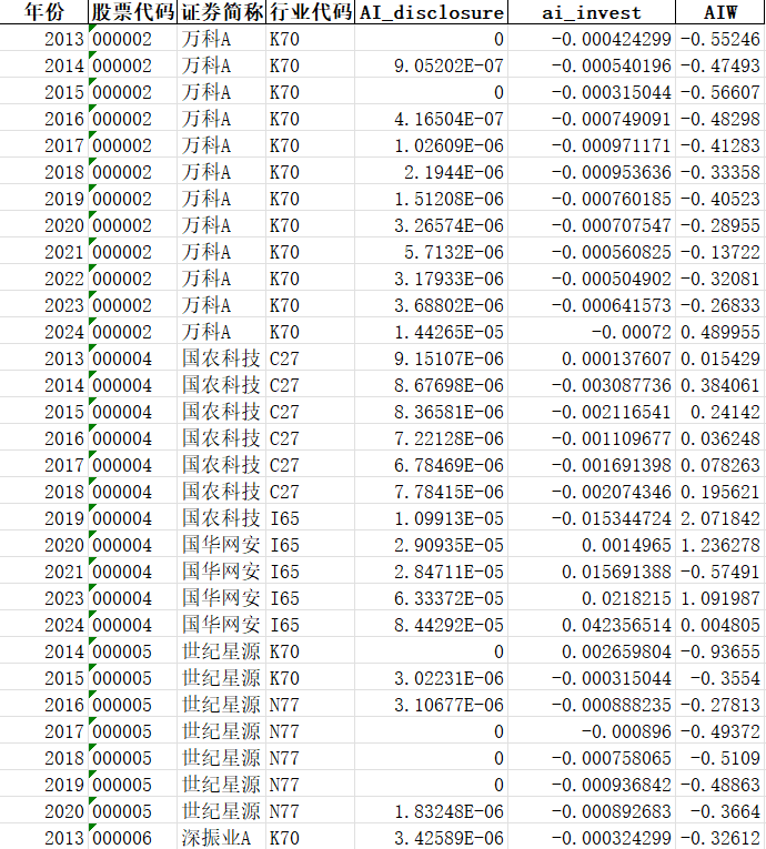
2281 上市公司漂AI指数(2010-2024)
| 数据来源 | 各上市公司官网、官方网站、上市公司年报文本数据 |
| 时间跨度 | 2010-2024 |
| 区域跨度 | 上市公司 |
| 数据格式 | Excel形式 |
漂AI(漂浮式人工智能),是依托文本分析技术与财务数据分析技术,提取上市公司年报文本中人工智能相关术语并统计词频,结合语境梳理披露特征,量化判断上市公司在人工智能领域的象征性披露水平与实质性投资强度的分析视角,核心是通过文本与财务数据的双重载体挖掘企业AI战略的言行一致性与资源配置倾向。
基于此可展开多方面研究:一是企业横向对比研究,分析不同行业、不同规模企业在AI领域的言行差异,探究企业性质、行业属性、技术基础等因素的影响;二是纵向演变研究,追踪同一企业历年AI披露与投资变化,揭示关注重心从“宏观概念(如数字化转型)”向“具体技术(如生成式模型、大语言模型)”转移的规律及与技术迭代、市场竞争的适配性;三是言行与绩效关联性研究,验证高漂AI指数企业的市场表现、创新产出及资源配置效率,分析象征性披露转化为实际价值的路径与障碍;四是影响机制研究,探究外部监管压力、资本市场预期、技术冲击等变量对AI披露与投资决策的驱动作用;五是特定技术领域深度研究,聚焦生成式AI、智能驾驶等赛道,分析细分方向的披露与投资逻辑,为理解企业AI战略选择提供参考。
本数据分别参照于相关学术研究范式,基于上市公司年报文本数据与CSMAR财务数据库构建“漂AI指数数据集”,即通过多阶段文本分析与财务调整方法提取标准化AI言行信息,步骤如下:1、定义涵盖基础概念、核心技术、应用场景及支撑技术的综合性AI术语词典,系统纳入算法模型(如深度学习 、LSTM、SVM)、技术组件(如芯片、算力、大数据平台)及应用领域(如智能医疗、智能金融、自动驾驶)等共107个词汇;2、对年报文本进行关键词匹配与词频统计,计算调整后词频;3、提取资本化支出作为AI实质性投资指标,并进行行业-年度均值调整;4、基于“言-行”差距法计算漂AI指数,衡量企业AI象征性披露与实质性投资之间的偏离程度。
AI术语词典 | |||||||||
软件 | 智能 | 信息平台 | 系统 | 数据 | 数字 | 客户端 | 服务平台 | 互联网 | 信息技术 |
5G | AI | 区块链 | 科技 | APP | 小程序 | 网页 | 网站 | 计算机 | 电子设备 |
数据设备 | 自动化设备 | 信息设备 | 服务器 | 智能终端 | 机房 | 通讯设备 | 集成设备 | 存储设备 | 算力 |
电脑 | 芯片 | CPU | 网络 | 人工智能 | 计算机视觉 | 图像识别 | 知识图谱 | 智能教育 | 增强现实 |
智能政务 | 特征提取 | 商业智能 | 智能养老 | 支持向量机 | SVM | 知识表示 | 模式识别 | 物联网 | 人机对话 |
人机交互 | 数据挖掘 | 智慧银行 | 智能客服 | 虚拟现实 | 自动驾驶 | 无人驾驶 | 智慧金融 | 大数据营销 | 长短期记忆 |
LSTM | 智能芯片 | 边缘计算 | 云计算 | 深度神经网络 | 深度学习 | 特征识别 | 智能保险 | 智能零售 | 智能医疗 |
智能运输 | 智能家居 | 循环神经网络 | 大数据风控 | 机器人流程自动化 | 可穿戴产品 | 大数据平台 | 増强智能 | 大数据运营 | 机器翻译 |
神经网络 | 语音合成 | 人机协同 | 智能农业 | 智能音箱 | 卷积神经网络 | 问答系统 | 强化学习 | 大数据分析 | 自然语言处理 |
大数据管理 | 智能计算 | 语音交互 | 机器学习 | 生物识别 | 语音识别 | 智能监管 | 智能投顾 | 智能语音 | 声纹识别 |
人脸识别 | 智能体 | 大数据处理 | 分布式计算 | 智能传感器 | 智能搜索 | 智能环保 | |||
证券代码 | 年份 | 公司名称 |
行业代码 | AI信息披露强度 | AI投资强度 |
漂AI指数 |

[1]Zhou, Y., Chen, L., Zhou, F., & Ye, M. (2026). Contractual arrangements and information consistency: How ESG executive compensation incentives affect corporate AI disclosure. Journal of Business Research, 207,116019.